お詫びと訂正(正誤表)
本書の以下の部分に誤りがありました。ここに訂正するとともに、ご迷惑をおかけしたことを深くお詫び申し上げます。
(2025年10月23日最終更新)
P.26 「重力を理解する」5行目
P.27 2行目
| 誤 |
ある程度は見出していた。 |
| 正 |
ある程度は見出されていた。 |
P.27 下から8行目
| 誤 |
しかし長い間、「軽いものよりも重いものの方が遅く落ちる」という~ |
| 正 |
しかし長い間、「軽いものよりも重いものの方が速く落ちる」という~ |
P.28 11~12行目
| 誤 |
「落体の法則(物体の落下距離は落下時間の2乗)」 |
| 正 |
「落体の法則(落下速度は落下時間に比例し、物体の落下距離は落下時間の2乗)」 |
P.30 3行目
P.35 「磁石を役に立てる②」10行目
P.44 「万物の根源は……」冒頭
| 誤 |
では改めて、万物の根源を探った古代の学者たちの悪戦苦闘を探ってみよう。
万物の根源になる要素、それを「元素」と呼ぶ。ただ当初はこの呼び名がなく、後述するエンペドクレスは「根」と呼んでいた。
(一元論:略)
では改めて、万物の根源を探った古代の学者たちの悪戦苦闘を探ってみよう。
万物の根源になる要素、それを「元素」と呼ぶ。ただ当初はこの呼び名がなく、後述するエンペドクレスは「根」と呼んでいた。
(エンペドクレスの四元論:略) |
| 正 |
では改めて、万物の根源を探った古代の学者たちの悪戦苦闘を探ってみよう。
万物の根源になる要素、それを「元素」と呼ぶ。ただ当初はこの呼び名がなく、後述するエンペドクレスは「根」と呼んでいた。
問題はその元素(あるいは根)の正体が何であるかだ。極小の世界を知る術を持たない古代ギリシャの学者たちは主に観念的な思索によってその秘密に探ろうとした。学者たちの主張は実にさまざまで、元素は1つであるとする者もいれば複数の元素が存在すると考える者もいた。
(一元論:略)
(エンペドクレスの四元論:略) |
P.47 カコミ
| 誤 |
状態が半々である |
| 正 |
状態が重ね合わされている |
P.54 12行目
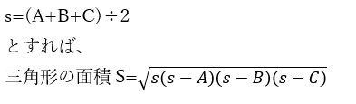
P.59 ヘロンの公式
| 誤 |
三角形の面積:(A+B+C)÷2 |
| 正 |
 |
P.61 「数学で射撃武器を当てる」4行目および5行目
| 誤 |
重力以外はそこまで |
| 正 |
風と重力以外はそこまで |
| 誤 |
重力だけを考慮したとしても |
| 正 |
風と重力だけを考慮したとしても |
P.70 「冷帯(亜寒帯)」11行目
P.74 「風」5行目
P.77 末部の図版
P.89 「トウモロコシ」5行目
| 誤 |
太陽光の強い地域、 |
| 正 |
太陽光の強い地域には向いている。 |
P.95 「※4」
| 誤 |
食用にもなる豆類。 |
| 正 |
食用にもなる。他に豆類。 |
P.96 下から2~3行目
P.97 ハーバーボッシュ法の図版
P.116 13~14行目
P.118 「ファンタジー世界の収斂進化」
| 誤 |
ホモ・サピエンスーサピエンス |
| 正 |
ホモ・サピエンス・サピエンス |
P.121 「エラ呼吸」8行目
P.131 1行目
| 誤 |
人類の愚行は種の絶滅ではない。 |
| 正 |
人類の愚行は種の絶滅だけではない。 |
P.150 5行目
| 誤 |
一般に、磨製石器方が |
| 正 |
一般に、磨製石器の方が |
P.175 7行目
| 誤 |
美しさの評価とは普遍的な |
| 正 |
美しさの評価には普遍的な |
P.188 「火星」2行目
P.189 「海王星」3行目
P.195 図版
P.218~219 下から2行目以降
| 誤 |
このうち、白は銀、黄は金のことを指している。
最終段階は~ |
| 正 |
段階は諸説あり(後世には黄化を外した3段階に)。このうち、白は銀、黄は金のことを指している。
最終段階でできるものは~ |
P.222 中央の図版部分