サポートページ
お詫びと訂正(正誤表)
本書掲載の記述に誤りがありました。訂正するとともに、読者の皆様および関係者の方々に深くお詫び申し上げます。
(2014年1月28日更新)
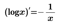
P.21 fig 1-2-2 の中の式
「-」をとってください。
| 誤 |
|
|---|---|
| 正 |
|
P.133 黒板の中の式
「13」という数字をとってください。
| 誤 |
|
|---|---|
| 正 |
|
P.146 図 ふきだし中3行目
| 誤 | x 成分は∂f/∂y 、y 成分は∂f/∂x |
|---|---|
| 正 | x 成分は∂f/∂x 、y 成分は∂f/∂y |
P.161 脚注(2箇所)
| 誤 | ds |
|---|---|
| 正 | dS |
P.181 1行目
| 誤 | コーシー・シーマン |
|---|---|
| 正 | コーシー・リーマン |
P.214 黒板の中の式 4行目
| 誤 | 1- e-inπ |
|---|---|
| 正 | 1- einπ |
P.216 公式7-2
| 誤 | L[f '] |
|---|---|
| 正 | L[f] |



