技術評論社
サイトのロゴ
本を探す
検索
入力例
今すぐ使えるかんたん Excel
978-4-297-12345-6
ジャンルやシリーズから探す
ジャンル
パソコン
スマートフォン・タブレット
デザイン・素材集
Webサイト制作
プログラミング・システム開発
ネットワーク・UNIX・データベース
資格試験(IT)
資格試験(一般)・大学受験
趣味・実用・デジカメ
ビジネス・マネー
理工・サイエンス
シリーズ一覧
定期刊行物
Software Design
戻る
ジャンル
書籍ジャンル
理工・サイエンス
数学・統計
素数ほどステキな数はない
サポートページ
お詫びと訂正(正誤表)
お詫びと訂正(正誤表)
本書の以下の部分に誤りがありました。ここに訂正するとともに、ご迷惑をおかけしたことを深くお詫び申し上げます。
(2023年12月4日最終更新)
P.18 表 入門-4 一番右の列
誤
双子素数
47、49
数の間
48
正
双子素数
59、61
数の間
60
P.30 上から13行目
誤
6項目
正
8
項目
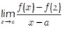
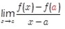
P.200 真ん中の極限値の式
誤
正
P.247 一番下の行
誤
正