サポートページ
ダウンロード
本書のサンプルファイルを圧縮ファイル形式でダウンロードできます。適宜展開してご利用ください。
(2024年11月12日更新)
お詫びと訂正(正誤表)
本書の以下の部分に誤りがありました。ここに訂正するとともに、ご迷惑をおかけしたことを深くお詫び申し上げます。
(2025年3月13日最終更新)
P.11 表の下の行列 1行1列目
| 誤 | 35 |
|---|---|
| 正 | 30 |
P.36 上から5行目 2式の和差
| 誤 | - |
|---|---|
| 正 | + |
P.67 下から4行目の式と、女の子の吹き出し
| 誤 | 0=12 |
|---|---|
| 正 | 0=4 |
P.82 上から11行目
| 誤 | 区間 |
|---|---|
| 正 | 空間 |
P.120 会話の下、上から2行目
| 誤 | ≦+ |
|---|---|
| 正 | ≦+ |
P.135 真ん中の行列
| 誤 | ![]() |
|---|---|
| 正 | ![]() |
P.139 下から3行目の行列式
| 誤 | ![]() |
|---|---|
| 正 | ![]() |
※2行2列ではなく2行1列
(以下2025年2月17日更新)
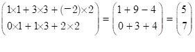
P.178 (1)
| 誤 | ![]() |
|---|---|
| 正 | ![]() |
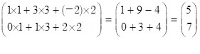
P.178 (3)
| 誤 | ![]() |
|---|---|
| 正 | ![]() |
P.178 (4)
| 誤 | ![]() |
|---|---|
| 正 |









